आखिरकार देश की जनता जिस बजट का इंतज़ार कर रही थी, वो एक फरवरी को देश की संसद में पेश हो गया। तो आइये जानते है देश की जनता को क्या क्या मिला इस बजट 2025 -26 में। सरकार ने किस क्षेत्र में अधिक खर्च का वादा किया और किस क्षेत्र में और अधिक टैक्स लगाने की बात की है।
बजट 2025 -26:-
भारत की वित्त मंत्री निर्मला सीतारमण जी ने 1 फरवरी को देश की संसद में साल 2025 – 26 के लिए बजट पेश कर दिया। जनता के अलग अलग प्रकार के पॉपकॉर्न चबाने के लिए अलग अलग टैक्स स्लैब लगाया था। अब लोग दातो टेल उंगली दबाये नए बजट में सरकार से रहत की उम्मीद में बैठे थे।
तो चलिए विस्तार से जानते है आखिर क्या क्या और कितना मिला देश की जनता को उनकी उम्मीद पर और किस जगह पर अधिक खर्च करना पड़ेगा।
बजट की शुरवात करते समय ही वित्त मंत्री निर्मला सीतारमन जी ने भारत के लोगो की क्रय क्षमता को बढ़ने क बात की, जिसका मतलब था कि देश की जनता से काम टैक्स लेना लेना ताकि उनके पास खर्च करने के लिए अधिक धन होगा। क्रय क्षमता बढ़ने क मतलब है व्यापर का बढ़ना व्यापार के साथ कई तरह के उद्योगों, निर्माण क्षेत्रो को बढ़ावा मिलना। जिसका सीधा प्रभाव देश की GDP पर सकारात्मक पड़ेगा।
नए टैक्स स्लैब इस प्रकार है:
| आय सीमा | टैक्स दर |
| 0 – 4 लाख | 0 |
| 4 – 8 लाख | 5% |
| 8 – 12 लाख | 10% |
| 12 -16 लाख | 15% |
| 16 – 20 लाख | 20% |
| 20 – 24 लाख | 25% |
| 24 लाख से अधिक | 30% |
हालाँकि ध्यान रखने वाली बात यह है कि नई टैक्स रिजीम से टैक्स भरने वालो को इस छूट का फायदा मिलेगा न की पुरानी टैक्स रिजीम वालो को।
इसे इस प्रकार समझे की 12 लाख रुपए तक की छूट इनकम टैक्स एक्ट की धारा 87A के तहत दी गई है यह लाभ । जिसका मतलब होता है कि, नई टैक्स रिजीम के तहत 12 लाख तक की सालाना कमाई वालों पर 4-8 लाख रुपए पर लगने वाले 5% टैक्स और 8-12 लाख की कमाई पर लगने वाला 10% टैक्स सरकार माफ कर देगी। यह माध्यम वर्ग के लिए एक बड़ी रहत साबित होगी। इससे टैक्सपेयर को 60 हजार रुपए का फायदा होगा।
वैसे तो सरकार अगले सप्ताह में नई इनकम टैक्स ले कर आने वाली है,
फिर भी हमे टैक्स को लेकर ये 7 बड़े बदलाव अभी ही होते हुए दिखे :
- पुराने रिटर्न फाइल करने की पहले अवधि 2 वर्ष थी, जिसे बढ़ा कर अब 4 वर्ष कर दिया गया है, जिसका फ़ायद अब यह मिलेगा कि अगर किसी का पुराना रिटर्न फाइल करना रह गया होगा अथवा रिटर्न फाइल करना रह गया होगा तो वह पिछले 4 तक के रिटर्न भर सकता है या सुधार सकता है।
- किराये के माध्यम से वाले वार्षिक आय पर TDS की सीमा 2.4 लाख से बढ़ाकर 6 लाख की गई है।
- वरिष्ठ नागरिकों को बैंक और पोस्ट ऑफिस में रखे धनराशि के ब्याज से होने वाली कमाई पर मिलने वाली टैक्स छूट को दोगुना कर दिया गया है। जिसका मतलब है कि अब 50 हजार से बढ़ाकर 1 लाख रुपए किया गया है।
- वित्त मंत्री ने ऐलान किया है कि जो लोग 29 अगस्त 2024 या उसके बाद NSS ( नेशनल सेविंग्स स्कीम ) से पैसा निकालेंगे उन्हें निकासी पर कोई टैक्स नहीं देना होगा।
- टीडीएस और टीसीएस का उपयोग आमतौर पर सामान बेचने के दौरान किया जाता था। इस बार से टीसीएस हटाने का ऐलान किया है। ये भी कहा है कि ऊंची दरों पर टीडीएस उन्हीं मामलों में लगाया जाएगा जिनका पैन नंबर नहीं होगा।
- विदेश में पढ़ाई के लिए पैसा भेजने पर टैक्स कलेक्टेड एट सोर्स (TCS) की लिमिट अभी तक 7 लाख रुपये थी जिसे बढ़ा कर अब 10 लाख रुपए कर दिया गया है। इस छूट का लाभ आपको तभी मिलेगी जब यह पैसा किसी फाइनेंशियल आर्गनाइजेशन जैसे बैंक या NBFC आदि से लोन लिया गया हो।
- खुद के मालिकानाहक़ वाले दो घर हैं और आप दोनों घरों में रहते हैं, तो अब आप दोनों संपत्तियों पर टैक्स का फायदा ले सकेंगे। जो की पहले सिर्फ एक घर में मिलता था।
भारत में दो तरीके के टैक्स रिजीम लगते है, पहला पुराना टैक्स रिजीम जिसमे अलग अलग टैक्स स्लैब के लोगो को उनके व्यय पर कई तरह की छूट मिलती है, पर उसमे टैक्स फ्री आय की सीमा 2.5 लाख तक ही है। और एक है नयी टैक्स रिजीम जिसमे आय पर छूट की सीमा तो बढ़ा दी गयी है, परन्तु अन्य किसी प्रकार के छूट नहीं दिए है।
नई टैक्स रिजीम के अनुशार रिटर्न आपका टैक्स कैलकुलेट करेगा और अगर आपकी वार्षिक आय 12 लाख से काम है तो टैक्स पाय करने समय आपका टैक्स अपने आप ही शून्य हो जायेगा। यहाँ पर भी ध्यान देने वाली बात यह है कि यह आपके नियमित आय पर लागु होगा न की कैपिटलगेन पर।
इसका स्टष्ट मतलब यह है कि सारे छूट उन्हें मिलेंगे जिनकी वार्षिक आय 12 लाख से कम है, पर आगा आपकी सालाना आय 12 लाख से अधिक है तो आपको कोई छूट नहीं मिलेगी और आपको नए टैक्स स्लैब के हिसाब से टैक्स देना पड़ेगा।
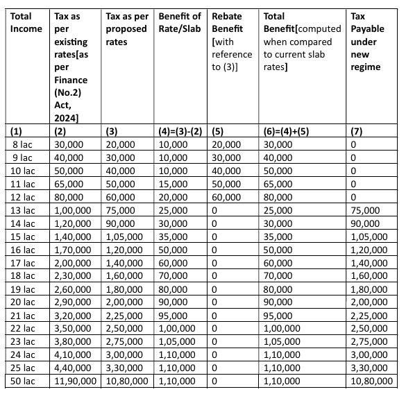
What is the tax benefit for different category of taxpayers (0-24 lacs) ?

भारत आज दुनिया के व्यापर के लिए लुभावना मार्केट के रूप में देखा जाता है, सरकार चाहती है की यह वैश्विक रुझान भारत की तरफ बना रहे , जिससे भारत में नये रोजगार, तकनीक, अलग – अलग उधोग के क्षेत्र में तेज़ी से बढ़ोत्तरी देखने मिलेगी।
किसी देश का बजट इन 3 बातो पर टिका होता है – कितना पैसा कमाने वाला है, कितना खर्च करेगा और किस क्षेत्र पर अधिक ध्यान दिया जायेगा।
अगर हम इन तीन बातो को समझ ले तो हमे पूरा बजट समझ आ जायेगा।
DLShuhY kPl lBJjQg
xpztndtdvevttkkjvqenydvdrjmfdr
sudrhsgedeurxenpxmfefiklwudqqi